DR. REET KAMAL TIWARI
Associate Professor
Indian Institute of Technology Ropar

Tyagi, A., Gupta, N., Tiwari, R. K., James, N., & Chavan, S. R. (2024). Determining the impact of anthropogenic activities and climate change on landslide susceptibility for the Himalayan region. Natural Hazards, 1-27.
Determining the impact of anthropogenic activities and climate change on landslide susceptibility for the Himalayan region
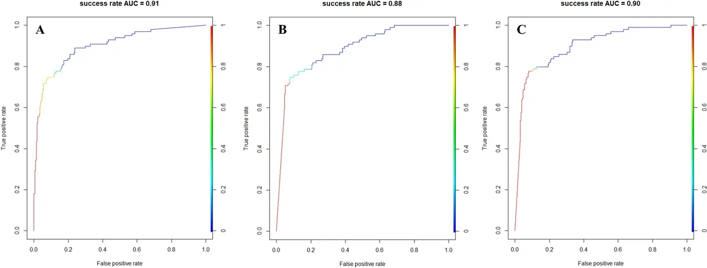
Landslides seriously threaten life and properties in different parts of the Himalayas. The study focuses on deriving the future landslide susceptibility (LS) maps under different climate scenarios for the Himachal Pradesh, India. To accomplish this, first, 15 years landslide database of 267 events was prepared and clustered in three temporal groups (2005–2010, 2010–2015, and 2015–2020). LS maps were prepared for each group by correlating landslides with their causing factors using the artificial neural network (ANN) model. Second, anthropogenic (land use land cover) LULC future projection was simulated using the ANN-based Cellular Automaton model. Third, 2050 projection maps for two climate variables (rainfall and temperature) were prepared by assembling six CMIP6 climate models under four shared socioeconomic pathways (SSPs) scenarios. Fourth, the prepared 2010 and 2015 LS maps, along with projected anthropogenic LULC and climate variables, were incorporated for predicting the future 2050 LS maps. The simulated results show a considerable change in LULC, rainfall, and temperature pattern in the future, which will result in increase of landslides as the forcing situations increase from SSP-1.26 to SSP-5.85. These results can be utilized to revise current land use policies and develop mitigation measures for landslide risk reduction.
Gallery












